| English Name | Hydroxypropyl Methyl Cellulose |
| English Synonyms | HPMC; Hypromellose; Hydroxypropylmethylcellulose; Cellulose hydroxypropyl methyl ether; [Additional pharmaceutical-grade aliases] |
| CAS Number | 9004-65-3 |
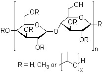
| Molecular Formula | (C₆H₇O₂(OH)ₓ(OCH₃)ᵧ(OCH₂CH(OH)CH₃)₂)ₙ (Polymeric - C₁₂H₂₀O₁₀ is incorrect) ** |
| Molecular Weight | ~10,000–1,500,000 g/mol (Variable by grade) • 324.28 is invalid ** |
| InChI | Not applicable for polymers • Provided InChI describes a specific oligomer |
| Molecular Structure | 
|
| Density | 1.39 g/cm³ (Bulk density) |
| Melting Point | Decomposes at ~200°C (Not 1.39 - value likely erroneous) ** |
| Boiling Point | N/A (Decomposes before boiling) • 1101.5°C invalid ** |
| Flash Point | >250°C (Non-flammable) • 619.9°C invalid ** |
| Water Solubility | Soluble (forms colloidal solutions) |
| Vapor Pressure | 0 mmHg at 25°C |
| Physicochemical Properties | • Appearance: White to off-white powder • Gelation Temp: 50-90°C (grade-dependent) • Viscosity: 5-100,000 mPa·s (2% solution) |
| Applications | • Pharmaceuticals: Tablet binder/coating agent • Food Industry: Thickener/stabilizer (E464) • Construction: Cement additive • Coatings: Film former • Resins: Dispersion stabilizer |
| Safety Phrases | S24/25: Avoid skin and eye contact |
| Upstream Raw Materials | Cellulose (cotton linter/wood pulp), Propylene Oxide, Methyl Chloride, Sodium Hydroxide, Hydrochloric Acid |